ステーブルスワップとマルチアセットプール設計で知られるDEXプロトコルの@CurveFinanceは最近、ステーブルコインの設計を発表しました。
その設計の最も重要な 2 つの柱は、LLAMMA と PegKeeper です。
LLAMMA は Lending-Liquidating AMM Algorithm の略です。これは、@Uniswap v3 の機能を使用した、自動化された清算/清算解除手順です。
@AaveAave などの他の貸付プロトコルと比較すると、清算手順は自動化されています。AMM は、担保価格が下がると担保を Curve のステーブルコイン (ここでは crvUSD と呼びます) に変換し、価格が上がると crvUSD を担保に戻します。
この機能により、完全な清算と完全な清算解除/担保化の間に中間状態が存在します。さらに興味深いのは、Uniswap v3 の範囲注文機能のおかげで、ユーザーは永久的な清算ではなく担保を取り戻すことができる可能性があることです。
しかし、なぜ Curve は独自の社内 AMM である Curve v2 を使用しないのでしょうか?
まず、Curve v2 には価格帯の概念がありません。これは完全な価格帯 (0 から無限大) の AMM です。次に、各「価格帯」の最終状態を計算する解析ソリューションはありません。その計算には 3 次方程式を解くことが含まれます。
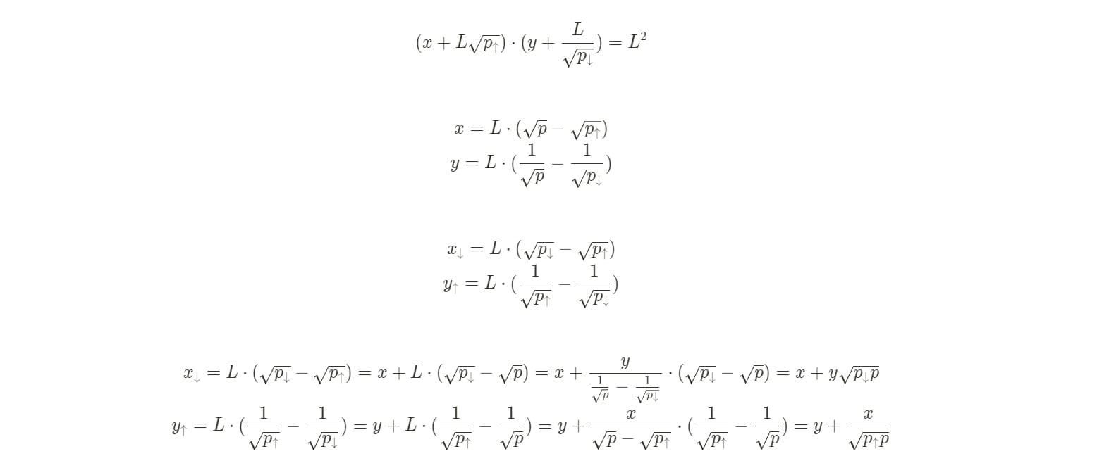
crvUSD ホワイト ペーパーでは、清算範囲全体を価格帯に分割し、各価格帯の上限価格と下限価格を P_up と P_down で示しています。
単一の価格帯でリバランスする場合と比較して、複数の価格帯でリバランスする場合の利点は、各価格帯の流動性を再集中させることにより、スリッページが改善されることです。
各バンドのベース価格と上限価格および下限価格の関係を示す方法は、Uniswap v3 の価格ティックに相当します。
各バンドでは流動性が均一に分布しています。したがって、著者は数値計算を使用してこれらの関係に到達しましたが、ホワイトペーパーでは方程式(9)と(10)の簡単な証明を提供できます。

各価格帯内の代替可能な流動性は、複数ユーザーの清算にも役立ちます。
リバランスにより、永久的な損失が発生します。最適なパラメータ (A、n) を選択する方法は、取り組むのが難しい問題のようです。
永久損失、スリッページ、ガスコストなどをすべて考慮する必要があります。
2番目に重要な柱であるcrvUSDのPegKeeperは、名前が示すようにcrvUSDのUSDペグを維持します。
これは、オラクル価格と LLAMMA の瞬間価格の差異に基づいて金利を変更することによって実現されます。
crvUSD の需要が増加している場合は、金利を下げて借入を奨励します。需要が減少している場合は、金利を上げて crvUSD の償還とバーンを奨励します。
これを実装するために他のステーブルコインを選択してみませんか?
まず、ネイティブステーブルコインは Curve に収益をもたらすことができます。次に、現在 LLAMMA をサポートする他のステーブルコインはありません。
crvUSD は、既存のステーブルスワップ インフラストラクチャと関連する流動性も活用できます。
crvUSD ホワイトペーパー: https://github.com/curvefi/curve-stablecoin/blob/master/doc/curve-stablecoin.pdf

